【生産者の想いとイチ推しクリスマススイーツを掲載】 厳選推し10社掲載企画! 生産者からクリスマススイーツを大募集!
株式会社goo-dy.(代表取締役社長 新井 暁)が運営する“情報マッチングサービス『いいモノ.com』 (https://ii-mo-no.com/)では、クリスマス特集ページに掲載する ≪イチ推し「クリスマス スイーツ」を本日より募集します。≫ 物価高騰が止まらない 現在 "頑張る生産者の想いをぜひ聞かせてください!"
■『いいモノ.com』のクリスマス企画とは?
『いいモノ.com』はいいモノを届けたいという生産者を応援するサービスサイトとしてスタートしました。
全てのものが値上がり・物価高騰を続ける近年、生産者は出来るだけお客様にいいモノをお届けするために試行錯誤しながら最高の商品を作り続けています。
そんな生産者の想いと商品の良さを広く知ってもらう為『いいモノ.com』では、作る側(生産者)の声を皆様にお届けするクリスマス特集を掲載します。
クリスマスをイメージしたスイーツ全般(和菓子・洋菓子問わず)、クリスマスをより楽しく彩る自慢のオリジナル商品を全国から大募集します。
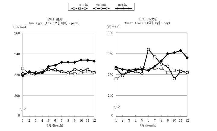
■クリスマススイーツ関連商品に関わる価格の変化
※小売物価統計調査 - 総務省統計局データ(小売価格の動き 東京都区部の小売価格)
スイーツに欠かせない小麦粉、鶏卵などの価格が今年は大幅に上昇。
食用油、バニラエッセンス、チョコレートの原料カカオ豆など原材料の価格高騰のなかで、生産者はなんとか美味しいモノを届けようと試行錯誤しています。

■クリスマススイーツ無料掲載エントリー方法概要
ご応募は下記URLより行ってください。(募集期間:本日~2022年12月6日<火曜日>迄)
【募集エントリーフォーム】
https://ii-mo-no.com/recruitment/producer/christmas-sweets-2022/
※エントリーフォームが開けない場合は下記メールに『クリスマス企画エントリー希望』と記載お送りください。
【メール】
press@goo-dy.com
ご不明な点などございましたらお気軽にご連絡ください。沢山のご応募をお待ちしています。
ーーーーーーーーーーー
▽「いいモノ.com」とは?▽
当社は、“いいモノを簡単に探したい ”という消費者と“ いいモノを届けたい” という生産者を応援します。
商品選びで「失敗したくない、損したくない」という心理学の側面から人間の“本能”を検証し、本サービスを創りました。
“いいモノ選びをもっと楽しく簡単に!
日常生活の中で使用される商品を中心に、編集部が厳選したイチオシ&オススメ情報を発信しています。
ーーーーーーーーーーー
| 社 名 | 株式会社goo-dy. (グッディ) |
| 代 表 取 締 役 | 新井 暁(AKIRA ARAI) |
| 住 所 | 〒150-0001東京都渋谷区神宮前6-23-4 |
| U R L | コーポレートサイト : https://goo-dy.com/ サービスサイト : https://ii-mo-no.com/ |
| 設 立 | 2019年12月 |
| 株主・特別顧問 | ・澤田 秀雄 氏(株式会社エイチ・アイ・エス 代表取締役会長 グループ最高経営責任者(CEO)) https://prtimes.jp/main/html/rd/p/000000005.000071864.html
・重松 理 氏 (株式会社ユナイテッドアローズ名誉会長 他) |
▽本件に関するお問い合わせ先▽
広報窓口: 小坂 敏康(TOSHIYASU KOSAKA)
電話番号: 050-3510-8241 Email: press@goo-dy.com
ログインするとメディアの方限定で公開されている
お問い合わせ先や情報がご覧いただけます
添付画像・資料
添付画像をまとめてダウンロード
企業情報
| 企業名 | 株式会社goo-dy. |
|---|---|
| 代表者名 | 新井 暁 |
| 業種 | ネットサービス |
コラム
株式会社goo-dy.の
関連プレスリリース
-
WEBメディア【いいモノ.com】年末年始の帰省⼟産に!⽻⽥空港広報おすすめ限定⼟産10選を紹介
2023年12月22日 14時 Cユーザー投稿
-
“『2023年』いいモノ.com編集部が厳選 " ≪ハロウィンスイーツ特集!≫
2023年10月24日 17時 Cユーザー投稿
-
WEBメディア【いいモノ.com】秋にぴったりのスイーツといえばモンブラン!<編集部イチオシ7選をご紹介>
2023年10月23日 16時 Cユーザー投稿
-
いいモノ.comスイーツ記事【半年で300本突破】
2023年4月19日 15時
株式会社goo-dy.の
関連プレスリリースをもっと見る









